Fire Flow Requirements for One and Two-family Dwellings
2018 International Fire Code Appendix B: Fire-Flow Requirements For Buildings, Section B105
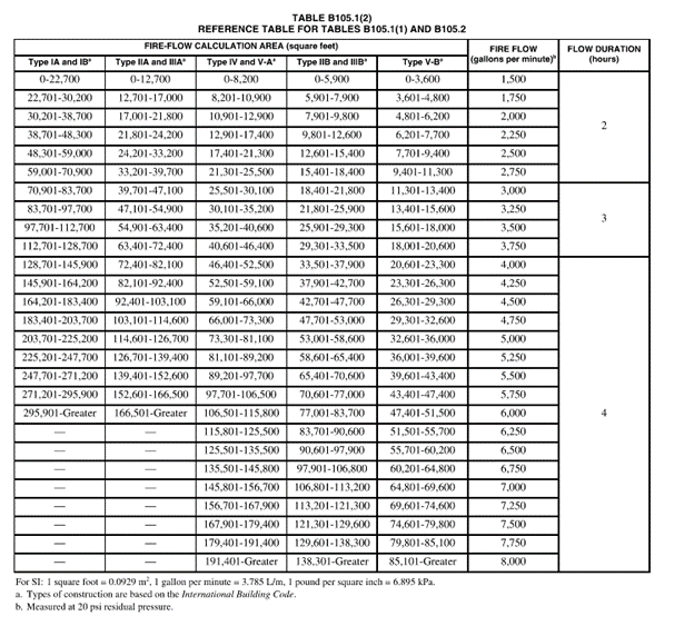
B105.1 One- and two-family dwellings, Group R-3 and R-4 buildings and townhouses. The minimum fire-flow and flow duration requirements for one- and two-family dwellings, Group R-3 and R-4 buildings and townhouses shall be as specified in Tables B105.1(1) and B105.1(2).

